<b>Somatic embryogenesis in anthurium (<i>Anthurium andraeanum</i> cv. Eidibel) as affected by different explants</b> - doi: 10.4025/actasciagron.v36i1.16557
Resumo
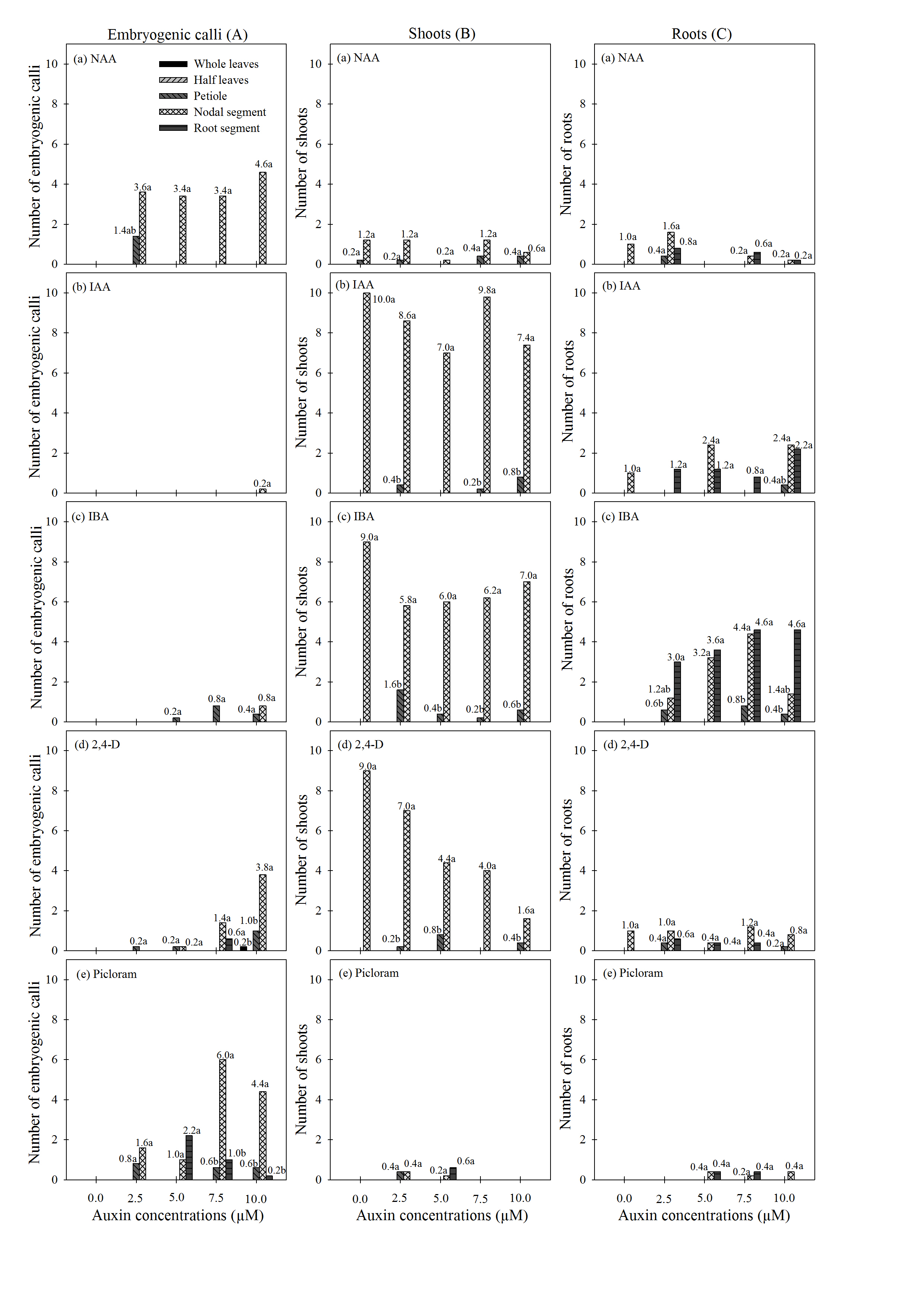
This study establishes a protocol for the induction of somatic embryogenesis in Anthurium andraeanum cv. Eidibel. The experiment was arranged in a completely randomized 5 x 5 x 5 factorial design using five explant types (whole leaves, half leaves; petiole; nodal segments and root segments) from in vitro plantlets; five auxins: indole-3-acetic acid (IAA), α-naphthaleneacetic acid (NAA), indole-3-butyric acid (IBA), 2,4-dichlorophenoxyacetic acid (2,4-D), and 4-amino-3,5,6-trichloropicolinic acid (Picloram); at five concentrations (0, 2.5, 5, 7.5 and 10 µM), with five replications using five Petri dishes. The cultures were maintained in a growth room at 25 ± 2ºC in the dark. The explant type was investigated for the induction of somatic embryogenesis in anthurium cv. Eidibel, and nodal segments were shown to be the most suitable explant for this process. After 60 days in culture, the highest number of embryogenic calli was recorded for the nodal segments cultured in NAA (5, 7.5 and 10 µM), 2,4-D (10 µM) and Picloram (7.5 and 10 µM). The histological analysis confirmed the presence of embryos with established polarization, procambium, ground meristem and protoderm in the nodal segments cultured in Pierik medium containing 10 µM NAA. After the conversion of the somatic embryos into plantlets, these plantlets were acclimatized transferred to in vivo conditions and grown into normal plants.
Downloads
DECLARAÇÃO DE ORIGINALIDADE E DIREITOS AUTORAIS
Declaro que o presente artigo é original, não tendo sido submetido à publicação em qualquer outro periódico nacional ou internacional, quer seja em parte ou em sua totalidade.
Os direitos autorais pertencem exclusivamente aos autores. Os direitos de licenciamento utilizados pelo periódico é a licença Creative Commons Attribution 4.0 (CC BY 4.0): são permitidos o compartilhamento (cópia e distribuição do material em qualquer meio ou formato) e adaptação (remix, transformação e criação de material a partir do conteúdo assim licenciado para quaisquer fins, inclusive comerciais.
Recomenda-se a leitura desse link para maiores informações sobre o tema: fornecimento de créditos e referências de forma correta, entre outros detalhes cruciais para uso adequado do material licenciado.








































