<b>Hydrotime model can describe the response of common bean (<i>Phaseolus vulgaris</i> L.) seeds to temperature and reduced water potential</b> - doi: 10.4025/actascibiolsci.v35i2.15393
Resumo
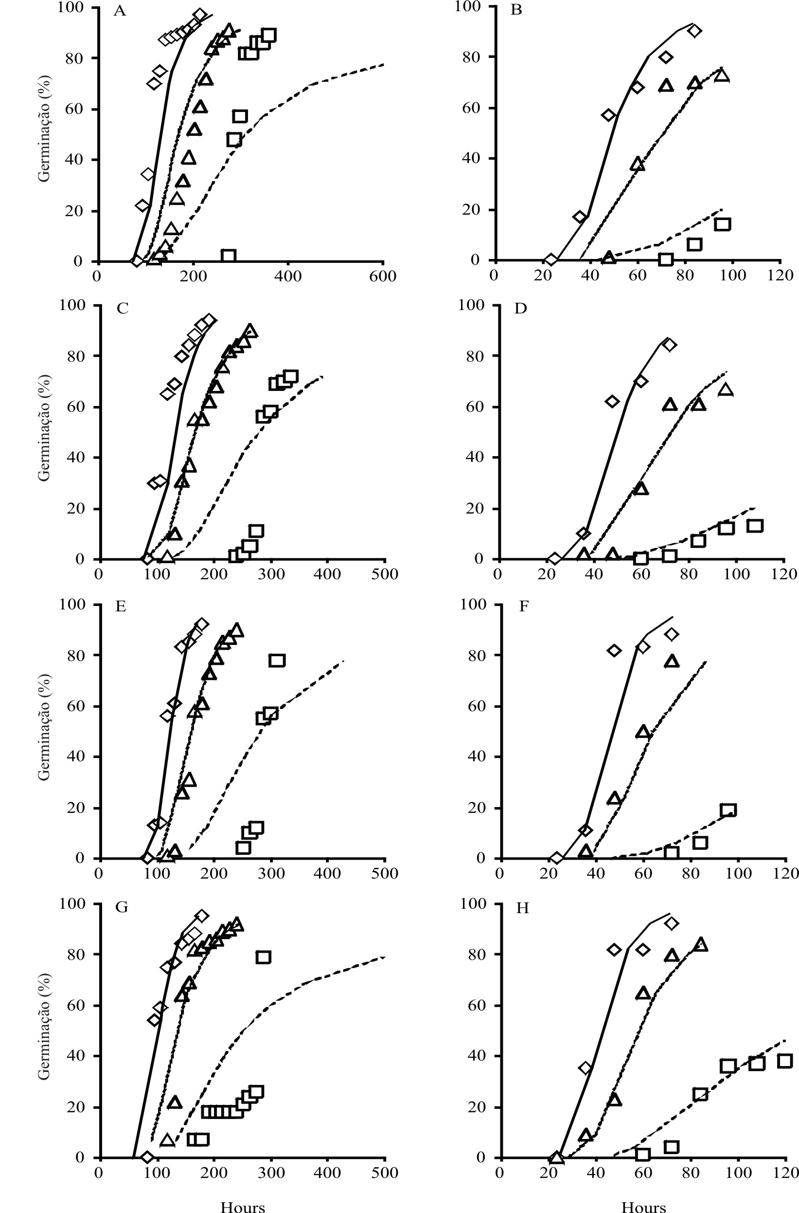
Germination parameters of the response to temperature and water potential from four common bean (Phaseolus vulgaris) lines based on thermal-time and hydrotime concepts were estimated to verify to what extent they can predict germination under different thermal and water conditions. The cultivars IPR Uirapuru and IAPAR 81 (drought-tolerant), and Grauna and Carioca (not tolerant) were used. The isothermal assays were performed in a temperature gradient block, and the assays with different osmotic potentials (PEG 6000) were performed in germination chambers. Seeds from drought-tolerant cultivars spent less time to germinate at supra-optimum temperatures than non-tolerant ones, and the cultivar Uirapuru (drought-tolerant) germinated faster in response to reduced Y and low temperatures. The parameter Yb(50) did not discriminate between drought-tolerant and non-tolerant lines at the infra-optimum temperature range, but it can be used to identify drought-tolerant lines at high temperatures. In general, the hydrotime model reproduced the actual germination data relatively well, chiefly at higher temperatures. This study evidenced that the hydrotime model can be used to describe the germination of common bean seeds under reduced water potentials, and as a screening tool for drought-tolerant bean genotypes.Downloads
DECLARAÇÃO DE ORIGINALIDADE E DIREITOS AUTORAIS
Declaro que o presente artigo é original, não tendo sido submetido à publicação em qualquer outro periódico nacional ou internacional, quer seja em parte ou em sua totalidade.
Os direitos autorais pertencem exclusivamente aos autores. Os direitos de licenciamento utilizados pelo periódico é a licença Creative Commons Attribution 4.0 (CC BY 4.0): são permitidos o compartilhamento (cópia e distribuição do material em qualqer meio ou formato) e adaptação (remix, transformação e criação de material a partir do conteúdo assim licenciado para quaisquer fins, inclusive comerciais.
Recomenda-se a leitura desse link para maiores informações sobre o tema: fornecimento de créditos e referências de forma correta, entre outros detalhes cruciais para uso adequado do material licenciado.






























