<b>Optical density evaluation around the zirconia granules used as graft in rat calvaria
Résumé
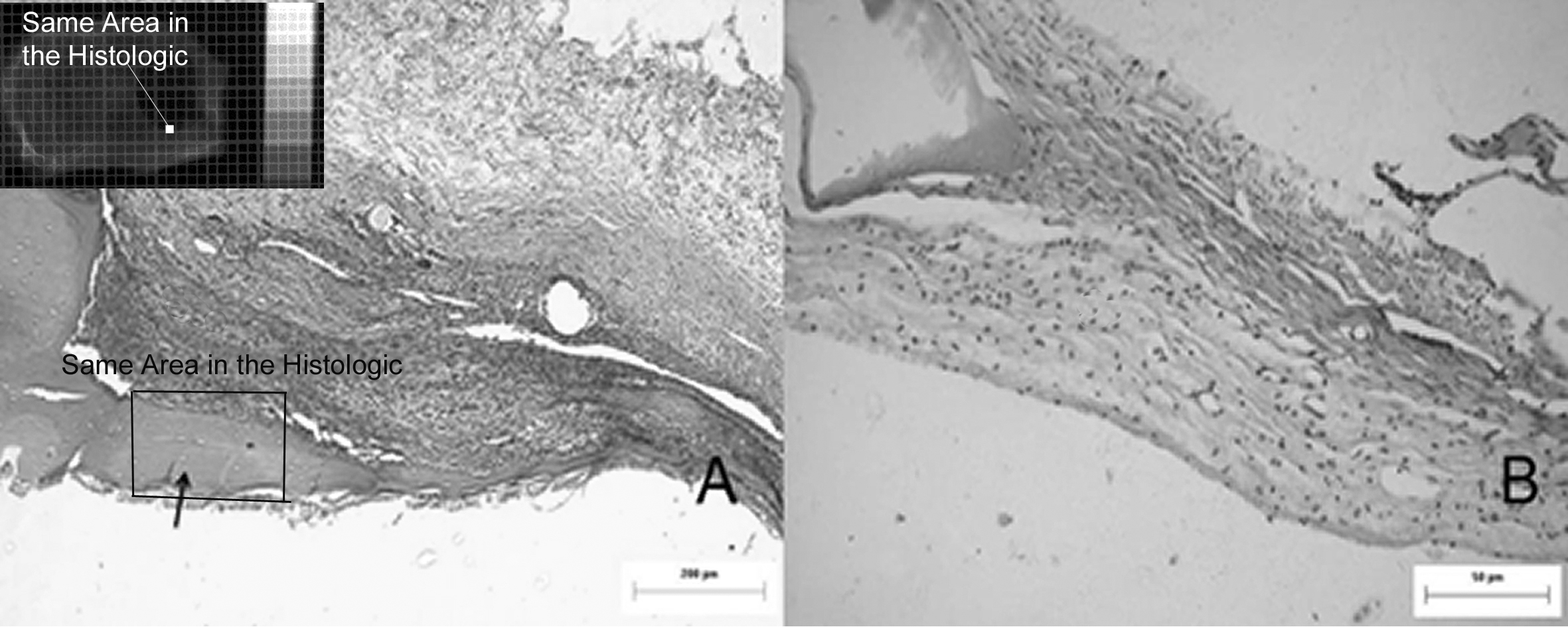
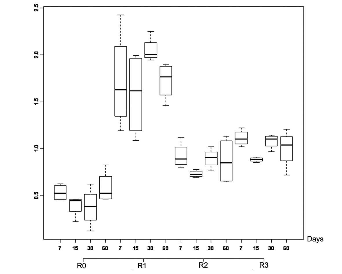
The aim of this study was to evaluate the optical density of the zirconia granules used as a graft in a rat calvarium model. Forty animals (Rattus Novergicus, albinus, Wistar) were divided into control and experimental groups and submitted to bone detects in the cranial cap using a trephine type burr 6 mmin diameter. The control group had the defect filled with blood coagulum, and the experimental group was filled with zirconia granules of 300 to 850 µm. The animals were sacrificed at intervals of 7, 14, 30, and 60 days. Digital images were obtained from the bone defect region, and optical density of the zirconia granules was measured using the Image Tool® 3.0. software (UTHSCSA,San Antonio, EUA). The histological analysis of the specimens was also evaluated. The values obtained were analyzed by statistical methods: Analysis of Variance, Welch’s Anova, and F Test. It was verified that the mean optical density of the bone repair process differs in all analyzed regions, irrespective of time (p < 0.0001). In the region with the zirconia graft, the mean density was always higher than the other regions analyzed, and the control group showed the same behavior of the experimental groups, but for the region with zirconia graft, the average density is always greater.
Téléchargements
DECLARAÇÃO DE ORIGINALIDADE E DIREITOS AUTORAIS
Declaro que o presente artigo é original, não tendo sido submetido à publicação em qualquer outro periódico nacional ou internacional, quer seja em parte ou em sua totalidade.
Os direitos autorais pertencem exclusivamente aos autores. Os direitos de licenciamento utilizados pelo periódico é a licença Creative Commons Attribution 4.0 (CC BY 4.0): são permitidos o acompartilhamento (cópia e distribuição do material em qualqer meio ou formato) e adaptação (remix, transformação e criação de material a partir do conteúdo assim licenciado para quaisquer fins, inclusive comerciais.
Recomenda-se a leitura desse link para maiores informações sobre o tema: fornecimento de créditos e referências de forma correta, entre outros detalhes cruciais para uso adequado do material licenciado.














5.png)





