<b>Inflammatory response after session of resistance exercises in untrained volunteers
Resumo
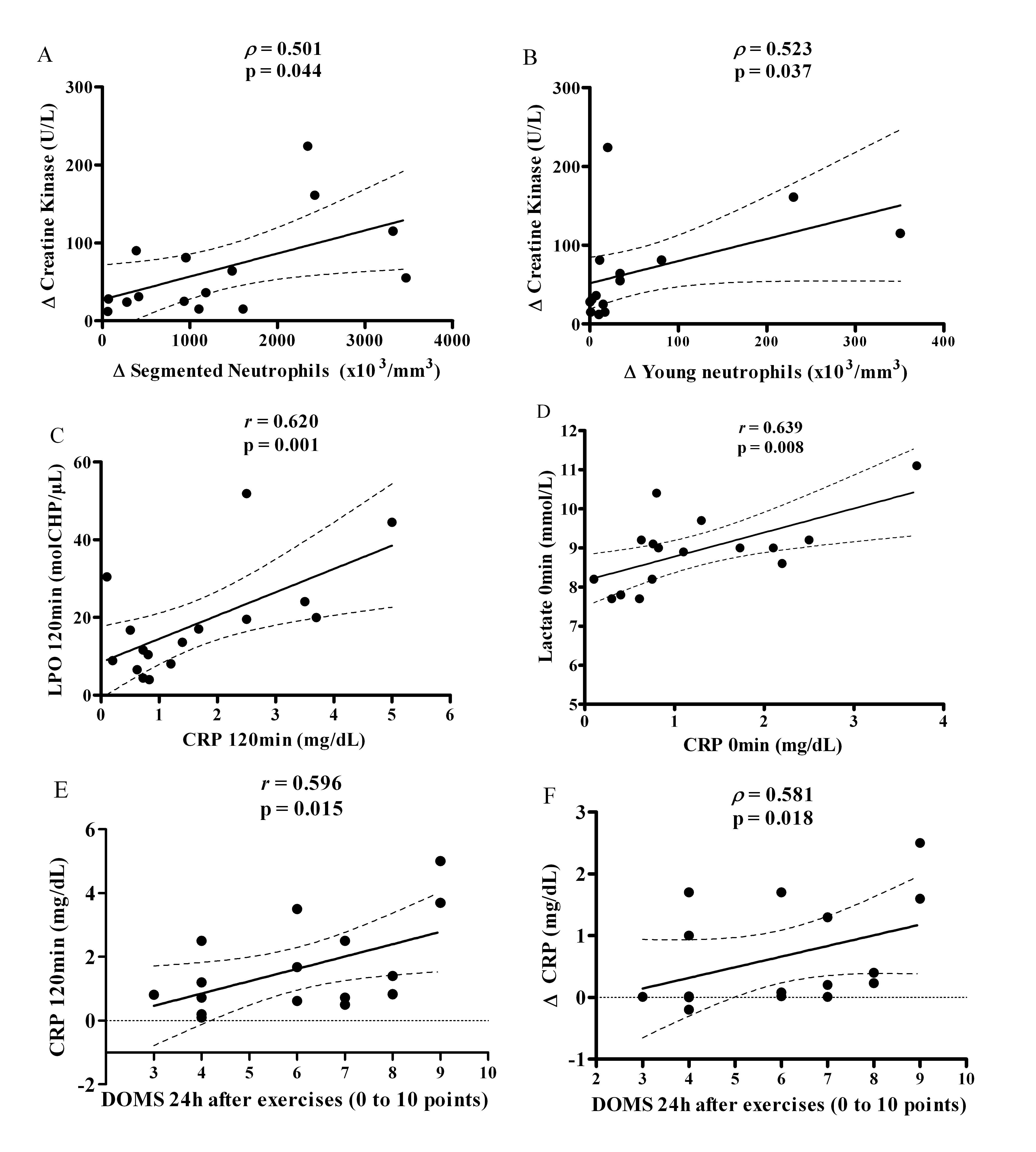
The present study aimed to investigate the interaction between the blood cells, inflammatory markers, oxidative stress parameters and delayed onset muscle soreness (DOMS) after a session of resistance exercise (SRE). The sample consisted of sixteen untrained men (26.4±5 years; 25.9±3 kg m-2). The SRE was composed of 4 sets of 10 repetitions maximum (extensor bench, squat and leg press) for each exercise. Complete blood cell count, C-reactive protein (CRP), creatine kinase (CK), lipid peroxidation and antioxidant capacity against peroxyl radicals were previously evaluated (baseline), and at 0, 30 and 120 min. after the SRE. DOMS was assessed 24 hours after the exercises. Immediately after the SRE, an increase of blood cell number was observed; returning to baseline after 30 min. However, after 120 min., neutrophils showed higher values than the baseline and 30 min. assessments. CK and CRP increased progressively throughout the experiment. LPO increased immediately and 120 min. after the SRE. Untrained volunteers presented an apparent biphasic inflammatory response after an acute SRE and the changes in oxidative stress, inflammatory markers and leukocytosis were best evidenced two hours after exercise.
Downloads
DECLARAÇÃO DE ORIGINALIDADE E DIREITOS AUTORAIS
Declaro que o presente artigo é original, não tendo sido submetido à publicação em qualquer outro periódico nacional ou internacional, quer seja em parte ou em sua totalidade.
Os direitos autorais pertencem exclusivamente aos autores. Os direitos de licenciamento utilizados pelo periódico é a licença Creative Commons Attribution 4.0 (CC BY 4.0): são permitidos o acompartilhamento (cópia e distribuição do material em qualqer meio ou formato) e adaptação (remix, transformação e criação de material a partir do conteúdo assim licenciado para quaisquer fins, inclusive comerciais.
Recomenda-se a leitura desse link para maiores informações sobre o tema: fornecimento de créditos e referências de forma correta, entre outros detalhes cruciais para uso adequado do material licenciado.














5.png)





