<b>Syrup production via enzymatic conversion of a byproduct (broken rice) from rice industry
DOI:
https://doi.org/10.4025/actascitechnol.v38i1.26700Palavras-chave:
gelatinization, liquefaction, enzymatic hydrolysis, response surface methodology (RSM)Resumo
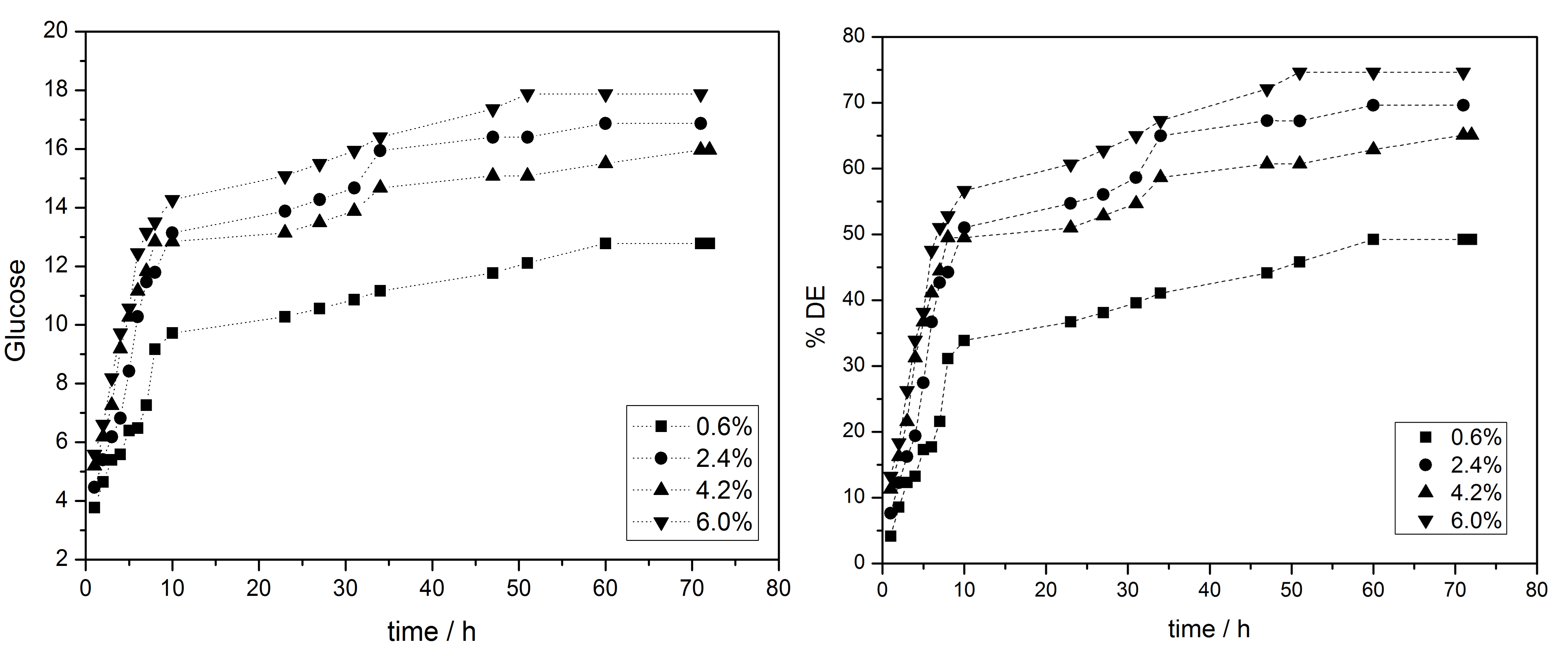
In a hydrothermal process for the gelatinization of the rice starch, it was studied the rate of hydration, temperature and time. An incomplete 33 factorial design was used to evaluate the effects of temperature, enzyme/substrate relation and liquefaction time, with dextrose equivalent (DE) as the response variable. The maximum value obtained was 14.69% DE at 89ºC, with 0.21% (w/w) of enzyme to substrate in 22 minutes. For saccharification, it was studied enzyme/substrate ratios (0.6, 2.4, 4.2 and 6.0% (w/w)) at 60ºC at a pH of 4.30, yielding 49.23, 69.65, 65.12 and 74.67% DE, respectively, after 72 hours. The syrup had a content of 12.78, 16.87, 15.96 and 17.87% of glucose (w/v), pH 2.60 - 2.71. The starch content converted into glucose after liquefaction was 61.80% and after saccharification ranged from 75.16 to 77.05% for the relation enzymes substrate tested.
Â
Downloads
Downloads
Arquivos adicionais
Publicado
Como Citar
Edição
Seção
Licença
DECLARAÇíO DE ORIGINALIDADE E DIREITOS AUTORAIS
Declaro que o presente artigo é original, não tendo sido submetido í publicação em qualquer outro periódico nacional ou internacional, quer seja em parte ou em sua totalidade.
Os direitos autorais pertencem exclusivamente aos autores. Os direitos de licenciamento utilizados pelo periódico é a licença Creative Commons Attribution 4.0 (CC BY 4.0): são permitidos o compartilhamento (cópia e distribuição do material em qualqer meio ou formato) e adaptação (remix, transformação e criação de material a partir do conteúdo assim licenciado para quaisquer fins, inclusive comerciais.
Recomenda-se a leitura desse link para maiores informações sobre o tema: fornecimento de créditos e referências de forma correta, entre outros detalhes cruciais para uso adequado do material licenciado.











