<b>Depth distribution of exchangeable aluminum in acid soils: A study from subtropical Brazil
Resumo
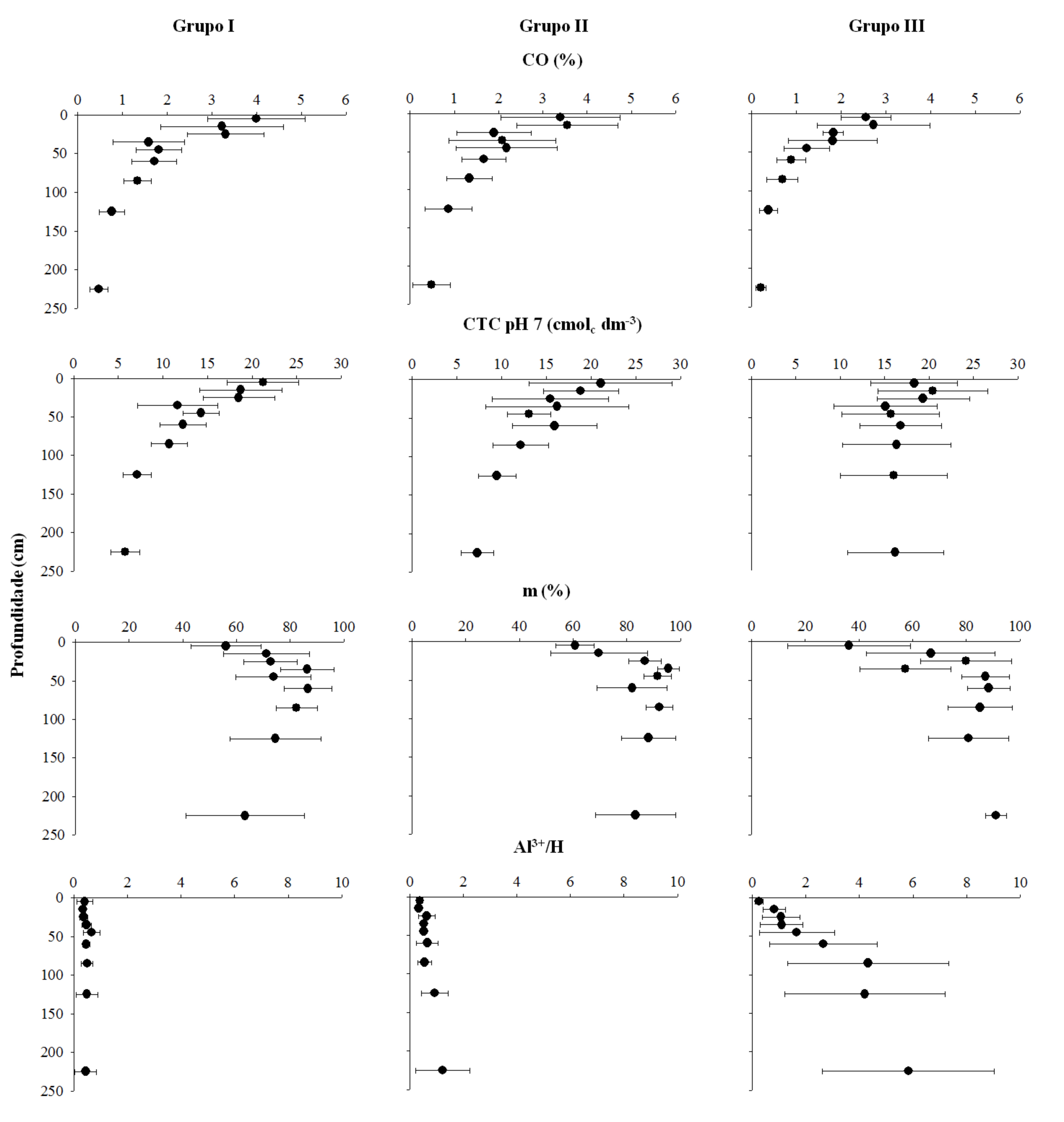
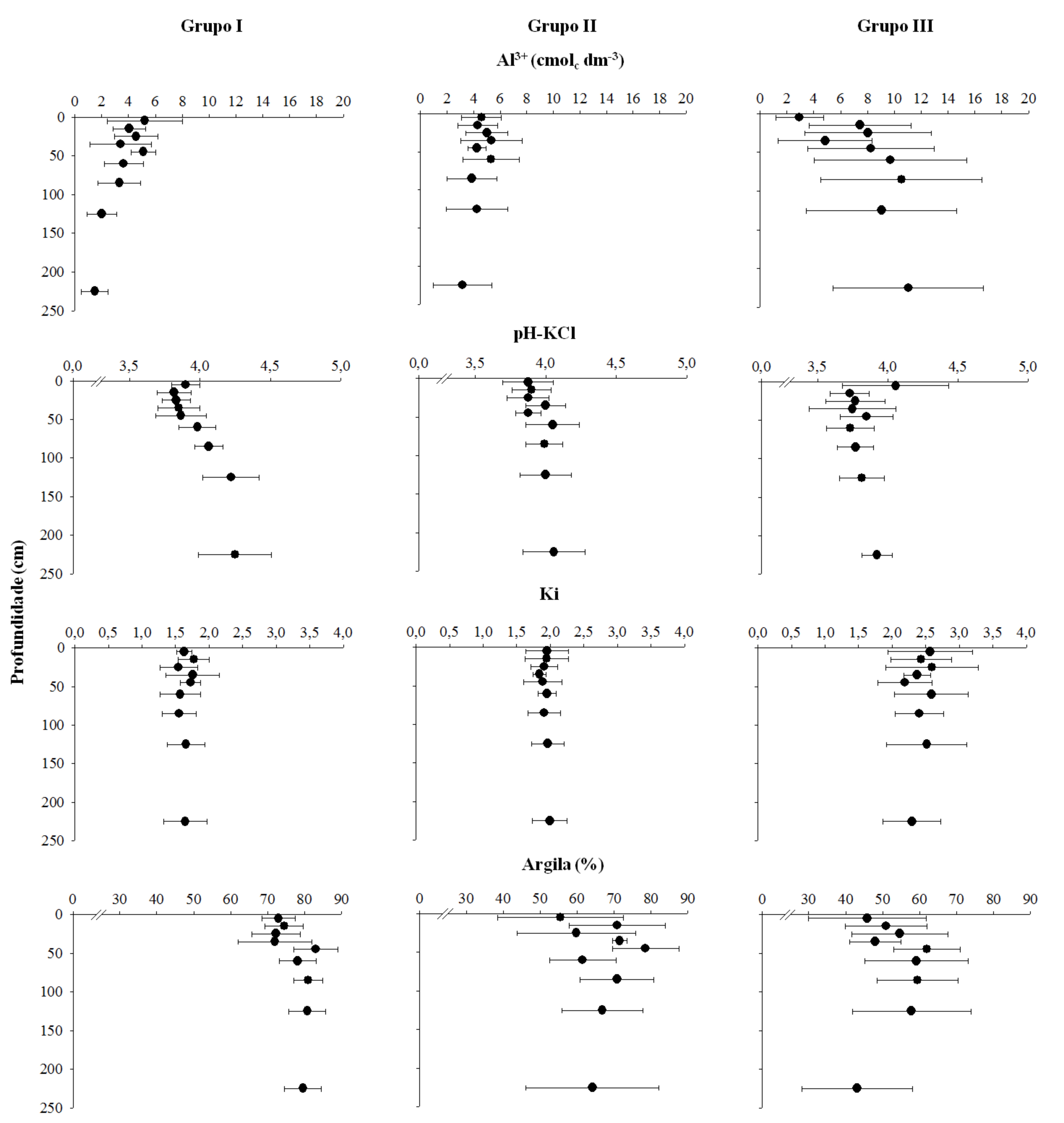
Due to potential crop toxicity, high aluminum (Al) availability requires increased attention when preparing agricultural soils. However, research examining the relationship between depth distribution of Al and soil weathering has received little priority in Brazil, particularly regarding the number of soil profiles investigated. This study analyzed 38 acid soils selected from Soil Surveys in southern Brazil to identify and isolate the effects of organic and mineral components on depth distribution of exchangeable Al extracted with KCl (AlKCl). These soil profiles were divided into the following three groups based on AlKCl depth distribution: Group I – decrease with depth; Group II – little variation with depth; and Group III – increase with depth. High AlKCl found near the surface of well-developed soils (Group I) was influenced by organic matter content, while mineral fraction quality defined the occurrence of high AlKCl in subsurface horizons of Group III. The depth distribution of AlKCl was defined by the degree of weathering in these subtropical soils. Possessing a knowledge of these soil groupings may aid in soil acidity management to optimize crop productivity in southern Brazil.
Downloads
DECLARAÇÃO DE ORIGINALIDADE E DIREITOS AUTORAIS
Declaro que o presente artigo é original, não tendo sido submetido à publicação em qualquer outro periódico nacional ou internacional, quer seja em parte ou em sua totalidade.
Os direitos autorais pertencem exclusivamente aos autores. Os direitos de licenciamento utilizados pelo periódico é a licença Creative Commons Attribution 4.0 (CC BY 4.0): são permitidos o compartilhamento (cópia e distribuição do material em qualquer meio ou formato) e adaptação (remix, transformação e criação de material a partir do conteúdo assim licenciado para quaisquer fins, inclusive comerciais.
Recomenda-se a leitura desse link para maiores informações sobre o tema: fornecimento de créditos e referências de forma correta, entre outros detalhes cruciais para uso adequado do material licenciado.








































