ULTRASSOM TERAPÊUTICO NA REGENERAÇÃO NERVOSA - REVISÃO SISTEMÁTICA E METANÁLISE
Resumo
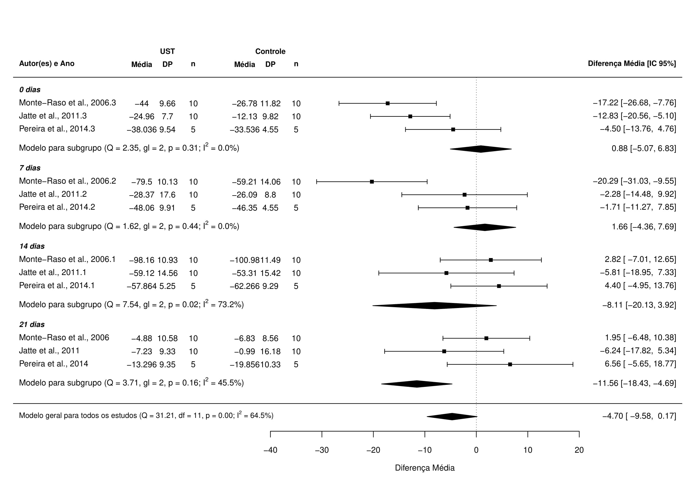
Objetivou-se com esta revisão sistemática e metanálise avaliar e comparar os efeitos do ultrassom terapêutico (UST) nas modalidades pulsada e contínua na regeneração nervosa e estabelecer um parâmetro de dosimetria do aparelho para sua utilização. Foram realizadas pesquisas nos bancos de dados BIREME, CAPES, PEDro e MEDLINE, além de buscas manuais nas referências de estudos publicados sobre o assunto, entre o período de julho de 2016 a fevereiro de 2017. Os estudos foram analisados e selecionados de acordo com critérios de elegibilidade, onde foram incluídos apenas aqueles que realizaram indução do dano em nervos periféricos, submetidos a tratamento com UST contínuo ou pulsado e que apresentaram grupo controle. Foi avaliado o índice funcional do nervo ciático (IFC) e análise morfométrica. Dos 1.877 estudos encontrados, nove foram incluídos na revisão sistemática e três na metanálise sobre o IFC. O UST, nas modalidades contínua e pulsada, comparado com o grupo controle não apresentou diferença (p≥0,05) significativa para os tempos 0, 7 e 14 dias, entretanto, apresentou diferença significativa (p≤0,05) aos 21 dias. Os demais desfechos foram descritos de maneira qualitativa por apresentarem metodologias e unidades de medida diferentes, não podendo ser compilados. Conclui-se que o UST possui efeitos positivos na regeneração nervosa quando comparados aos grupos controle principalmente quando aplicado na modalidade contínua, devido aos seus efeitos térmicos, porém, não sendo descartados seus efeitos na modalidade pulsada quando aplicado em baixas intensidades.
Downloads
Referências
CRISCI, A.R. Estudo experimental dos efeitos do ultrassom pulsado de baixa intensidade sobre a regeneração do nervo ciático de ratos após neurotomia, mediante avaliações morfológicas e morfométricas. 2001. 100f. Dissertação (Mestrado). - Escola de Engenharia de São Carlos/Faculdade de Medicina de Ribeirão Preto, Universidade de São Paulo.
FARFÁN, E e MATAMALA F. Tratamiento com ultrasonido continuo de alta intensidad en nervios isquiáticos de rata (Sprague Dawley) lesionados por compresión. International Journal of Morphology, v.29, n.3, p.787-791, 2011. .
FARFÁN, E. e MATAMALA F. Estudio comparativo entre dos intensidades de ultrasonido continuo en la reparación del nervo espinal lesionado por compresión. International Journal of Morphology, v.31, n.3, p.1124-1129, 2013. .
FORTERRE, F.; TOMEN, A.; RYTZ, U.; BRUNNBERG, L.; JAGGY, A.; SPRENG, D.; Iatrogênic sciatic nerve injury in eighteen dogs and nine cats (1997-2006). Veterinary Surgery, v.36, n.5, p.464-471, Jul. 2007. .
JATTE, F.G.; MAZZER, N.; MONTE-RASO, V.V.; LEONI, A.S.L; BARBIERI, C.H.; O UST na medula espinhal acelera a regeneração do nervo ciático de ratos. Acta ortopédica brasileira, v.19, n.4, p.213-218, 2011.
LÓS, D.B.; IVSON, S.B.; KAMILLA, L.D.S.; ANDRADE, R.F.; SILVIA, M.R.A.; Efeito da natação na regeneração do nervo ciático após neurotmese experimental. Revista fisioterapia & saúde funcional, v.5, n.1, p.23-29, jul. 2016.
MONTE-RASO, VV.; BARBIERI, C.H.; MAZZER, N.; FASAN, V.S.; Can therapeutic ultrasound influence the regeneration of peripheral nerves? Journal of Neuroscience Methods, v.142, n.2. p.185-192, Mar. 2005. < DOI: 10.1016/j.jneumeth.2004.08.016>.
MONTE-RASO, VV.; BARBIERI, C.H.; MAZZER, N.; FASAN, V.S.; Os efeitos do UST nas lesões por esmagamento do nervo ciático de ratos: análise funcional da marcha. Revista brasileira de fisioterapia, v.10, n.5, p.113-119, 2006. < DOI: 10.1590/S1413-5552006000100015.>.
OLIVEIRA, F.B.; PEREIRA, V.M.D.; TRINDADE, A.P.N.T.; SHIMANO, A.C.; GABRIEL, R.E.C.D.; BORGES, A.P.O.; Ação do laser terapêutico e do ultrassom na regeneração nervosa periférica. Acta ortopédica brasileira, v.20, n.2, p.98-103, 2012. .
OLSSON, D.C.; MARTINS, V.M.V.; PIPPI, N.L.; MAZZANTI, A.; TOGNOLI, G.K.; Ultrassom terapêutico na cicatrização tecidual. Ciência Rural, v.38, n.4, p.1199-1207, jul. 2008. Disponível em: < DOI: 10.1590/S0103-84782008000400051.>
PEREIRA, T.; FERREIRA, B.S.O., ALVES, W.S.; FILHO, A.L.M.M.; Ação do ultrassom terapêutico e laser de baixa intensidade na regeneração nervosa em Rattus novergicus. ConScientiae Saúde, v.13, n.1, p.22-30, 2014. .
RASO, V.V.M. Os efeitos do UST no tratamento de lesões por esmagamento do nervo ciático de ratos. 2002. 59p. Dissertação (Mestrado). - Faculdade de Medicina de Ribeirão Preto. Universidade de São Paulo.
SGANZELLA, D. Ultrassom pulsado de baixa intensidade na regeneração nervosa periférica de ratos. 2007. 61f. Dissertação (Mestrado). – Escola de Engenharia de São Carlos/Faculdade de Medicina Ribeirão Preto/Instituto de Química de São Carlos, Universidade de São Paulo.
SIQUEIRA, R. Lesões nervosas periféricas: uma revisão. Revista Neurociências, v. 15, n.3, p.226-233, set. 2007.
