O processo de democratização no acesso aos serviços de saneamento no Brasil no contexto das Parcerias Público-Privadas
Resumo
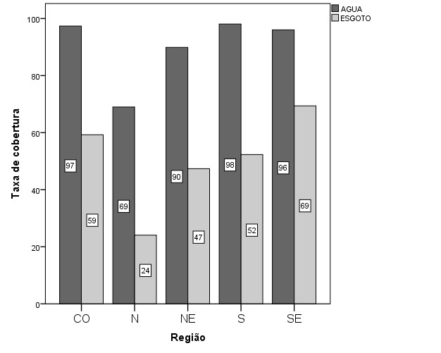
O presente artigo se propõe a discutir a necessidade de democratização dos serviços de saneamento no Brasil face ao emprego de Parcerias Público-Privadas (PPP) como uma pretensa estratégia mais eficiente para alcançar a universalização. A partir de uma perspectiva normativa, o artigo foi dividido em três sessões: na primeira apresentamos os vários desafios para efetivação direito humano ao saneamento e introduzimos o conceito de condicionantes sistêmicas como um aporte de contribuição para compreensão dos desafios apresentados; na segunda sessão, discutimos o instrumento de PPP inserido no processo de reforma do Estado brasileiro como uma estratégia limitada para alcançar a democratização no acesso ao saneamento; na terceira sessão, apresenta-se a conclusão do estudo, abordando o papel estratégico do Estado na defesa do direito humano ao saneamento.
Downloads
DECLARAÇÃO DE ORIGINALIDADE E DIREITOS AUTORAIS
Declaro que o presente artigo é original, não tendo sido submetido à publicação em qualquer outro periódico nacional ou internacional, quer seja em parte ou em sua totalidade.
Os direitos autorais pertencem exclusivamente aos autores. Os direitos de licenciamento utilizados pelo periódico é a licença Creative Commons Attribution Non-Commercial 4.0 (CC BY-NC 4.0): são permitidos o acompartilhamento (cópia e distribuição do material em qualqer meio ou formato) e adaptação (remix, transformação e criação de material a partir do conteúdo assim licenciado para quaisquer fins, exceto os comerciais.
Recomenda-se a leitura desse link para maiores informações sobre o tema: fornecimento de créditos e referências de forma correta, entre outros detalhes cruciais para uso adequado do material licenciado.

