<b>Docentes de pós-graduação: grupo de risco de doenças cardiovasculares</b> - doi: 10.4025/actascieduc.v33i2.13569
Resumo
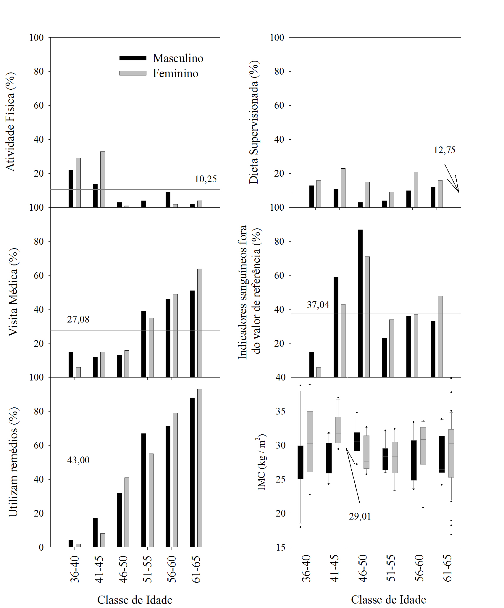
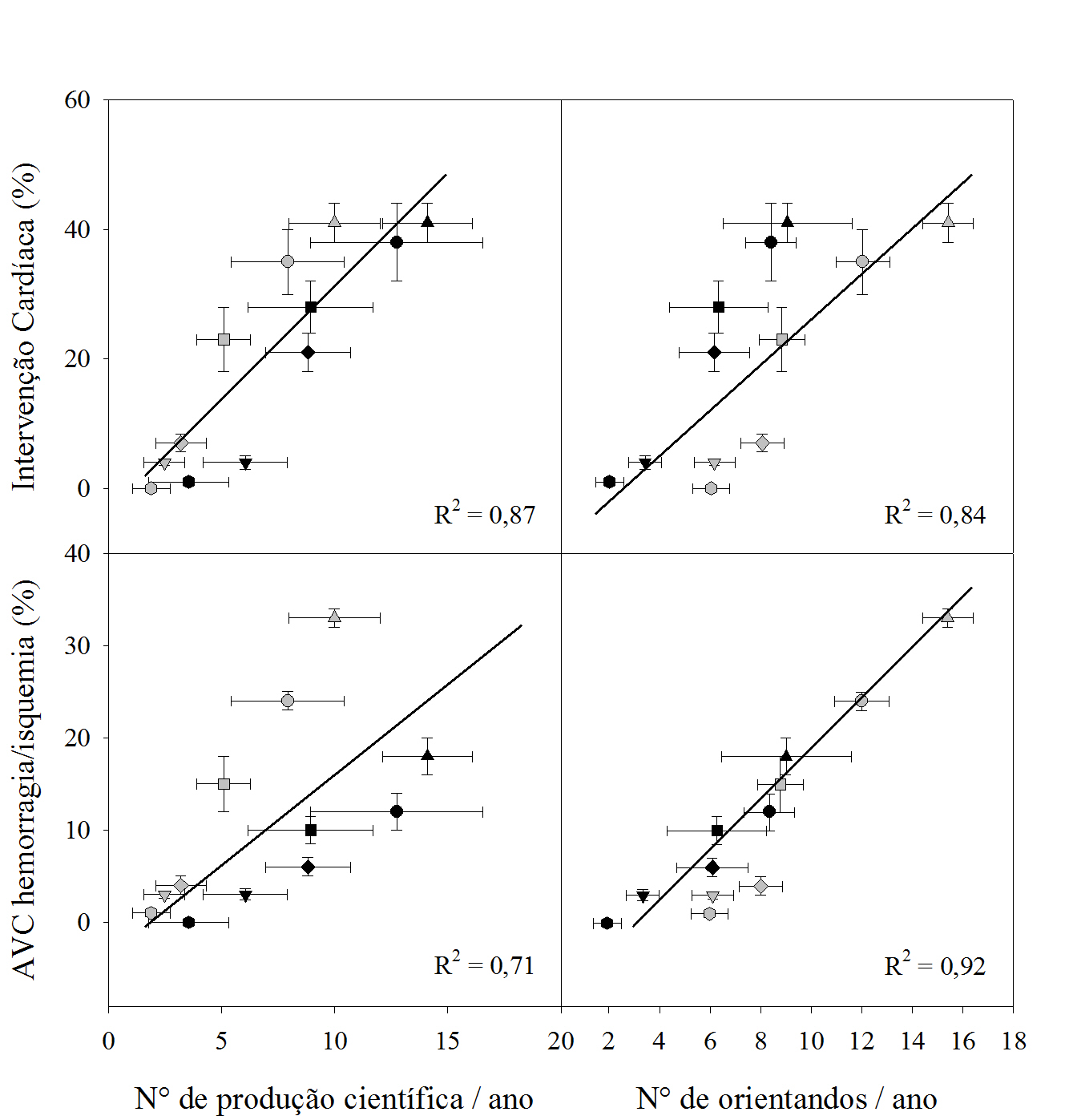
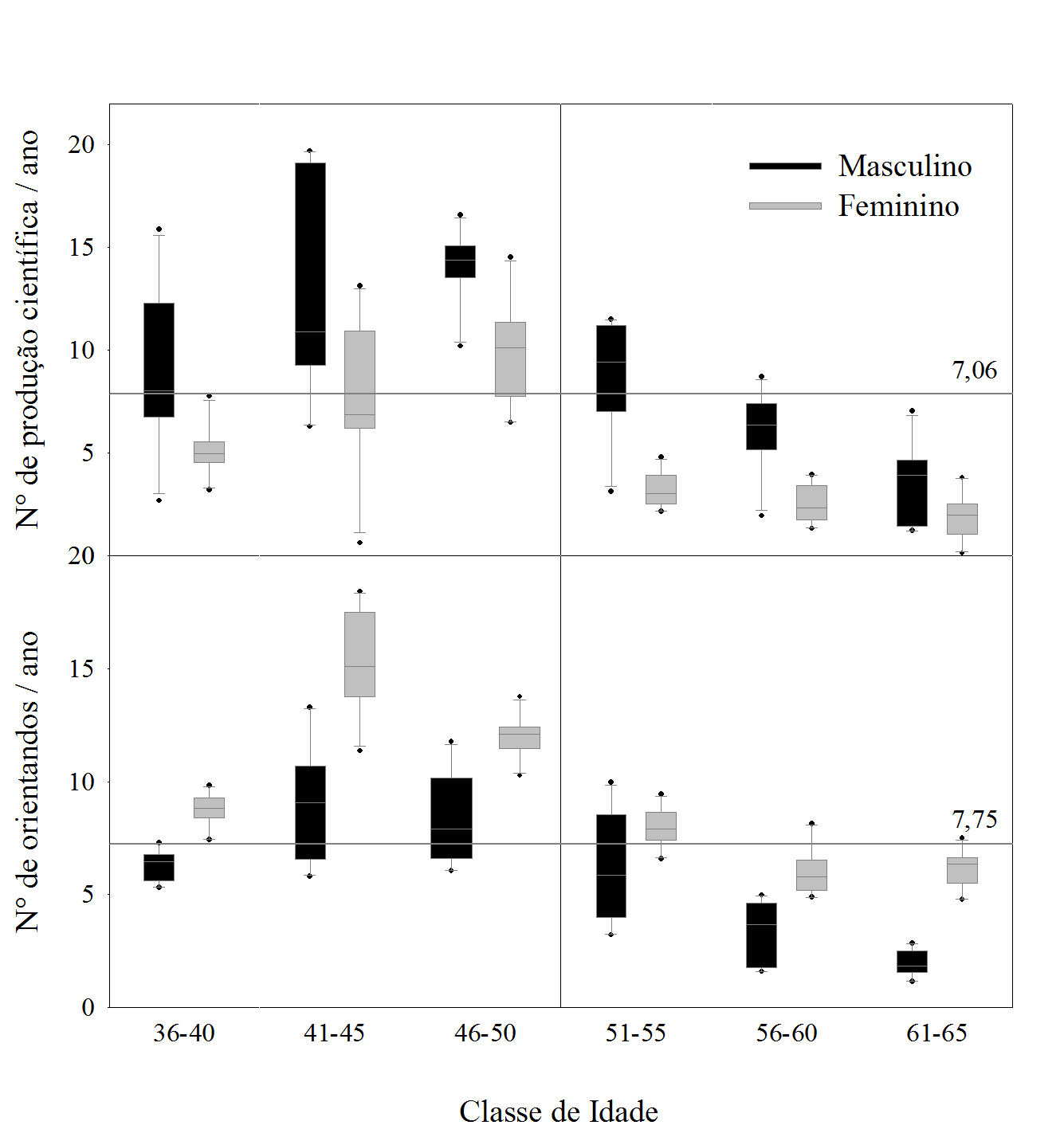
Os docentes de pós-graduação apresentaram aumento nos pedidos de licenças médicas, principalmente por sintomas ou sequelas de doenças cardiovasculares. Com isso, o objetivo deste trabalho foi, por meio de um questionário direcionado a professores de pós-graduação, quantificar entre eles quantos realizavam atividades físicas frequentes, dietas balanceadas e visitas médicas, e outros fatores, e comparar isso com: i) a ocorrência de intervenções cardíacas, doenças coronarianas e acidentes vasculares cerebrais; ii) o número de produção científica e o número de orientando médio por ano. Foram respondidos e analisados 540 questionários. A hipótese deste trabalho foi aceita, ou seja, quanto maiores o número de produção científica e o número de orientandos em média por ano, maiores foram as ocorrências médias de intervenções cardíacas, doenças coronarianas e os acidentes vasculares cerebrais (hemorrágico e isquêmico) em docentes de pós-graduação, principalmente, pela falta de dieta equilibrada e balanceada, de atividades físicas supervisionadas regularmente, e visitas médicas frequentes, justificados pela excessiva carga horária fora do expediente, para se manter os indicadores de qualidade dos cursos de pós-graduação e de seus currículos atualizados.
Downloads
This work is licensed under a Creative Commons Attribution 4.0 International License.
DECLARAÇÃO DE ORIGINALIDADE E DIREITOS AUTORAIS
Declaro que o presente artigo é original, não tendo sido submetido à publicação em qualquer outro periódico nacional ou internacional, quer seja em parte ou em sua totalidade.
Os direitos autorais pertencem exclusivamente aos autores. Os direitos de licenciamento utilizados pelo periódico é a licença Creative Commons Attribution 4.0 (CC BY 4.0): são permitidos o compartilhamento (cópia e distribuição do material em qualquer suporte ou formato) e adaptação (remix, transformação e criação de material a partir do conteúdo assim licenciado para quaisquer fins, inclusive comerciais).
Recomenda-se a leitura desse link para maiores informações sobre o tema: fornecimento de créditos e referências de forma correta, entre outros detalhes cruciais para uso adequado do material licenciado.








































